• 谈球吧体育,谈球吧app,谈球吧,谈球吧体育官网

    页面
    配色
    辅助线
    重置

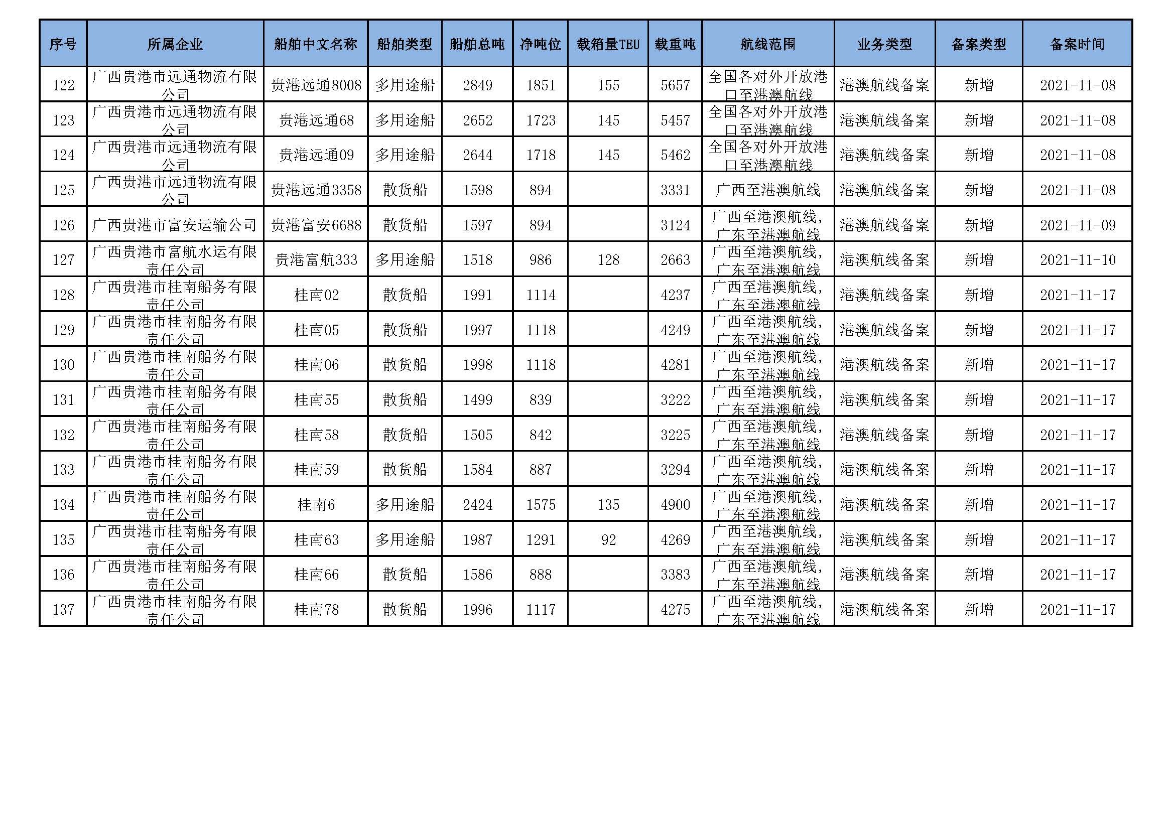
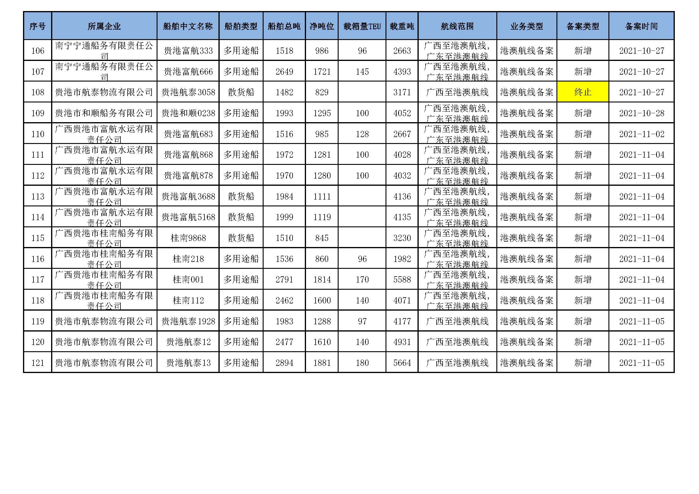
    截至2025年9月16日在交通运输部水路运输建设综合管理信息系统完成备案的港澳航线水路运输船舶

    2025-09-16 19:10     来源:谈球吧体育
    分享 微信
    头条
    微博 空间 qq
    【字体: 打印


    关联文件:

      谈球吧体育